Abstract
Background. Risk stratification is particularly important to tailor the therapeutic strategy and avoid unnecessary toxicity for the treatment of relapsed/refractory (r/r) classical Hodgkin lymphoma (cHL). Early assessment of chemo-sensitivity by fluoro-deoxy-glucose ([18F]FDG) positron emission tomography (PET) scan is the strongest predictor of outcome in first line setting; however, data are limited in r/r cHL. Circulating tumor DNA (ctDNA) profiling is emerging as a powerful tool for outcome prediction and response monitoring.The BEGEV (BEndamustine, GEmcitabine,Vinorelbine) regimen is routinely offered as salvage strategy prior to autologous (auto) or allogeneic (allo) stem cell transplantation (SCT) in r/r cHL (Santoro, 2016). Early identification of patients who fail this program may have a significant clinical impact in the selection of the optimal therapeutic strategy for r/r cHL.
Aim. We performed a retrospective analysis in r/r cHL patients treated with BEGEV to assess the efficacy of baseline ctDNA quantification in predicting outcome. Additionally, we evaluated whether integrating ctDNA genotyping with interim [18F]FDG PET scan may further improve outcome prediction.
Methods. 42 patients with r/r cHL treated with four cycles of BEGEV followed by auto- or allo-SCT were included in the study; median age was 32 years (range, 19-69). In all patients, response was assessed by an interim [18F]FDG PET (iPET) after two BEGEV cycles. Response was assessed using the 5-point scale Deauville score according to the Lugano criteria with complete metabolic response (CMR) defined as score of 1-3. Blood samples collected at baseline were profiled by CAPP-Seq strategy (Spina, 2018). A targeted resequencing panel optimized to include the coding exons and splice sites of 133 genes (320 Kb) that are recurrently mutated in B-cell lymphomas was used. Sequencing was performed using the Nextseq 550 platform (Illumina) to obtain a depth of coverage >2000x in >80% of the target region in all samples. We performed partitioning analysis to evaluate the predictive value of baseline ctDNA load combined with iPET, as assessed by further therapy within 18 months from end of BEGEV. Patients failing the BEGEV program beyond 18 months were censored. Additional variables also included advanced stage, bulky disease, extranodal disease, B symptoms, chemosensitivity to first-line therapy.
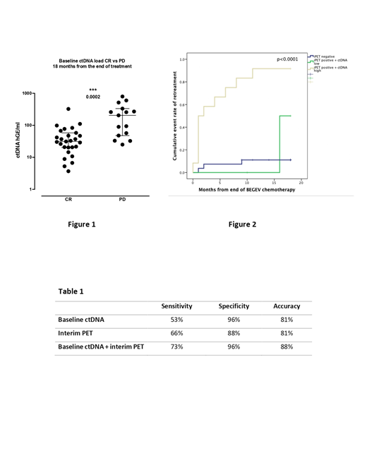
Results. In response to first-line therapy, 31% were chemo-sensitive and 69% refractory. BEGEV was administered as second-line therapy in 59.5 % of the patients whereas 39.5% received BEGEV beyond second-line. The median number of previous therapies was 2 (range, 1-6). After induction therapy 52% of patients underwent auto-SCT and 23% proceeded to allo-SCT. The median baseline ctDNA value reported as haploid genome equivalent per ml (hGE/ml) was 44 (range, 4-796), with ctDNA detected in PD patients being significantly higher as compared to CR patients (P=.0002) (Figure 1). After 2 cycles of BEGEV, 15 (36%) patients were positive at the iPET (DS 4 or 5), while 27 (64%) were negative. Among the variables included in the partitioning analysis, baseline ctDNA and iPET resulted the strongest predictors. Baseline ctDNA, taken individually, was able to predict need for retreatment with an overall accuracy rate of 81% (sensitivity 53%, specificity 96%). iPET predicted the need for retreatment with overlapping accuracy rate (81%), but with a higher sensitivity (66%) and a lower specificity (88%). Integrating baseline ctDNA and iPET resulted in an increased predictive value (accuracy rate 88%, sensitivity 73% and specificity 96%) which allowed to correctly classify 88% of patients treated with BEGEV (Table 1). Based on the results of the partitioning analysis, three categories of BEGEV-treated patients were defined (Figure 2). Patients with positive iPET and high baseline ctDNA (>33 hGE/ml) showed a significantly inferior treatment-free survival with 91,7% (95% CI 82.7-99.7) of patients in this category who needed further treatment at 18 months (p<0.0001).
Conclusion. Our data suggest that patients with high baseline ctDNA and positive interim PET have a limited benefit from completing the BEGEV regimen. Despite the small number of evaluated patients, early switch to non-chemotherapeutic agents such as targeted and immune-based drugs should be evaluated in prospective trials to improve outcome in high-risk patients.
Rossi: Abbvie: Honoraria, Research Funding; Janssen: Honoraria, Research Funding; AstraZeneca: Honoraria, Research Funding; Gilead: Honoraria, Research Funding; Verastem: Honoraria, Research Funding; Roche: Honoraria, Research Funding; Cellestia: Honoraria, Research Funding. Santoro: Sandoz: Speakers Bureau; Eli-Lilly: Speakers Bureau; Pfizer: Membership on an entity's Board of Directors or advisory committees, Speakers Bureau; AstraZeneca: Speakers Bureau; Gilead: Membership on an entity's Board of Directors or advisory committees, Speakers Bureau; Servier: Membership on an entity's Board of Directors or advisory committees, Speakers Bureau; Celgene: Speakers Bureau; Amgen: Speakers Bureau; AbbVie: Speakers Bureau; Roche: Speakers Bureau; BMS: Membership on an entity's Board of Directors or advisory committees, Speakers Bureau; Takeda: Speakers Bureau; Sanofi: Consultancy; Arqule: Consultancy, Speakers Bureau; Eisai: Membership on an entity's Board of Directors or advisory committees, Speakers Bureau; Novartis: Speakers Bureau; Bayer: Membership on an entity's Board of Directors or advisory committees, Speakers Bureau; MSD: Membership on an entity's Board of Directors or advisory committees, Speakers Bureau. Carlo-Stella: Roche: Membership on an entity's Board of Directors or advisory committees, Research Funding; ADC Therapeutics: Membership on an entity's Board of Directors or advisory committees, Research Funding; AstraZeneca: Honoraria; Bristol-Myers Squibb: Honoraria, Membership on an entity's Board of Directors or advisory committees; Incyte: Honoraria; Janssen Oncology: Honoraria; Celgene: Membership on an entity's Board of Directors or advisory committees; Karyopharm Therapeutics: Membership on an entity's Board of Directors or advisory committees; Sanofi: Consultancy, Research Funding.
